Fast Dissipation of Colliding Alfvén Waves in a Magnetically Dominated Plasma
Image credit: UnsplashAbstract
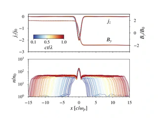
Magnetic energy around compact objects often dominates over plasma rest mass, and its dissipation can power the object’s luminosity. We describe a dissipation mechanism that works faster than magnetic reconnection. The mechanism involves two strong Alfvén waves with anti-aligned magnetic fields B1 and B2 that propagate in opposite directions along the background magnetic field B0 and collide. The collision forms a thin current sheet perpendicular to B0, which absorbs the incoming waves. The current sheet is sustained by an electric field E breaking the magnetohydrodynamic condition E < B and accelerating particles to high energies. We demonstrate this mechanism with kinetic plasma simulations using a simple setup of two symmetric plane waves with amplitude A = B1/B0 = B2/B0 propagating in a uniform B0. The mechanism is activated when A > 1/2. It dissipates a large fraction of the wave energy, f = (2A - 1)/A2, reaching 100% when A = 1. The plane geometry allows one to see the dissipation process in a one-dimensional simulation. We also perform two-dimensional simulations, enabling spontaneous breaking of the plane symmetry by the tearing instability of the current sheet. At moderate A of main interest, the tearing instability is suppressed. Dissipation transitions to normal, slower, magnetic reconnection at A ≫ 1. The fast dissipation described in this paper may occur in various objects with perturbed magnetic fields, including magnetars, jets from accreting black holes, and pulsar wind nebulae.
Type
Publication
The Astrophysical Journal

Authors
Assistant Professor
Xinyu Li is an assistant professor in the Department of Astronomy, Tsinghua University. He is fond of discovering fundamental physical laws from the vast observation of various astrophysical objects. His research areas are high energy astrophysics, plasma astrophysics and cosmology. His research topics cover a broad range of physical scales: from the smallest fundamental particles like electrons and ultralight axions, to neutron stars, black holes and galaxies, and to the largest scale structure of the universe.