Dissipation of Alfvén Waves in Relativistic Magnetospheres of Magnetars
Image credit: UnsplashAbstract
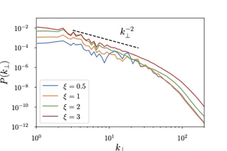
Magnetar flares excite strong Alfvén waves in the magnetosphere of a neutron star. The wave energy can (1) dissipate in the magnetosphere, (2) convert to “fast modes” and possibly escape, and (3) penetrate the neutron star crust and dissipate there. We examine and compare the three options. Particularly challenging are nonlinear interactions between strong waves, which develop a cascade to small dissipative scales. This process can be studied in the framework of force-free electrodynamics (FFE). We perform three-dimensional FFE simulations to investigate Alfvén wave dissipation in a constant background magnetic field, how long it takes, and how it depends on the initial wave amplitude on the driving scale. In the simulations, we launch two large Alfvén wave packets that keep bouncing in a periodic computational box and collide repeatedly until the full turbulence spectrum develops. Besides dissipation due to the turbulent cascade, we find that in some simulations spurious energy losses occur immediately in the first collisions. This effect occurs in special cases where the FFE description breaks. It is explained with a simple one-dimensional model, which we examine in both FFE and full magnetohydrodynamic settings. Our results suggest that magnetospheric dissipation through nonlinear wave interactions is relatively slow, and more energy is drained into the neutron star. The wave energy deposited into the star is promptly dissipated through plastic crustal flows induced at the bottom of the liquid ocean, and a fraction of the generated heat is radiated from the stellar surface.
Type
Publication
The Astrophysical Journal

Authors
Assistant Professor
Xinyu Li is an assistant professor in the Department of Astronomy, Tsinghua University. He is fond of discovering fundamental physical laws from the vast observation of various astrophysical objects. His research areas are high energy astrophysics, plasma astrophysics and cosmology. His research topics cover a broad range of physical scales: from the smallest fundamental particles like electrons and ultralight axions, to neutron stars, black holes and galaxies, and to the largest scale structure of the universe.